Introduction
Penaeus monodon, also known as black tiger shrimp, is the most prominent individual in the genus Penaeus1 and a traditional breed of shrimp in southern China, and the second most significant variety of marine shrimp in China with an annual output of more than 100,000 tons. The demand for fresh shrimp is increasing with the improvement in living standards and people’s long-term eating habits. In southern China, fresh shrimp is sold throughout coastal cities, and the price is more than double that of frozen shrimp. Therefore, the survival rate of shrimp in long-distance transportation is particularly important.2
Vitamin C (Vc) is an essential nutrient affecting the body’s immune system. As an antioxidant, Vc plays a vital role in scavenging free radicals produced by normal cell activities or external stress and protecting the body from damage.3 Studies have shown that Vc is widely used in aquatic products, and the addition of Vc in feed or aquaculture water can improve the antiviral ability, bacterial infection resistance,4 low salt tolerance5 and hypoxia tolerance of P. monodon to some extent. Vc is very effective in improving the vibrio resistance of Marsupenaeus japonicus.6 In pond intensive culture, a particular concentration of evenly sprinkled Vc can reduce aquaculture organisms’ sensitivity to environmental changes. Adding Vc can effectively alleviate the stress response of fishing and transportation to fish in the long-distance transportation of fresh fish. The survival time of fish in the experimental group can be increased by 9.8 times.7 Therefore, the aspects of the anti-stress ability performance of the addition of Vc in the transport process of P. monodon and how to achieve the anti-stress effect were studied to provide data basis for the study of the anti-stress effect of Vc on P. monodon.
Materials and Methods
Experimental materials
The experiment was conducted at Shenzhen Test Base of South China Sea Fisheries Research Institute, Chinese Academy of Fishery Sciences, from September 8 to September 9, 2022. The project team bred and preserved the P. monodon used in the experiment. The body length of the shrimp tested was 6.66±0.26cm, and the body weight was 3.60±0.13g.
Experimental Management
Four experimental groups were set up according to the different Vc content, which was 0mg/L, 111mg/L, 222mg/L, and 333mg/L, respectively. The transport method of this experiment was referred to as the transport method of Meng8 and the transport of shrimp seedlings was carried out with oxygenated membrane bags. Three parallels were set for each group, and there were 30 shrimp in each parallel group. According to the experimental results of Liu et al.,9 seawater of 19℃ was used for packaging and placed for 24 hours after packaging to simulate the transportation process. After transportation, shrimp were temporarily kept in a 500L breeding bucket and fed three times a day, counting the number of shrimps every three days, and shrimp vitality was observed. Finally, the survival rate and growth of the shrimp after temporary cultivation were calculated, and the results were analyzed.
Sample collection
Samples were taken 24 hours after packaging. Branchial and liver tissue of each parallel shrimp were taken randomly to observe the changes in tissue structure and the determination of antioxidant enzymes. The gill tissue for slicing was stored in a frozen tube filled with paraformaldehyde at 4℃. The liver used for enzyme activation was collected using a cryopreserved tube and transferred to -80℃ after 24 hours of liquid nitrogen rapid freezing.
Measurement and analysis
Through the xanthine and xanthine oxidase reaction system to produce superoxide anion radical, the latter oxidized hydroxylamine to form nitrite, under the action of color development agent purple color, with a visible light spectrophotometer to measure its absorbance. When the sample contains SOD, it has a specific inhibition effect on superoxide anion radical so that the formation of nitrite is reduced, the absorbance value of the measurement tube is lower than the absorbance value of the charge, the formula can calculate the SOD in the sample. According to the manufacturer’s instructions, acid phosphatase, alkaline phosphatase, and total antioxidant activity were tested using a commercial test kit (Nanjing Jiengcheng Bioengineering Institute, Nanjing, China).
Statistical analysis
Results were expressed as mean ± standard deviation, and the effect was tested by one-way analysis of variance (one-way variance). Upon a significant difference (P<0.05), the mean values of the groups were further compared by Duncan’s multiple-range test. All statistical analyses were performed using SPSS19.0.
Results
The survival rate of P. monodon after transportation
After the transportation, the survival rate of each experimental group is shown in Fig 1. It can be seen from Figure 1 that the amount of Vc added significantly impacts the transportation survival rate of P. monodon. With the increase of Vc supplemental level, the survival rate of P. monodon increased gradually from 88.8% to 97.7%. The survival rate after 15 days of temporary maintenance is shown in Figure 2. The survival rate after temporary rearing for 15 days still increased.
The effect of Vc on the tissue structure of P. monodon during transportation
Figure 3 and Figure 4 show the section of the gill tissue structure of P. monodon. With the increase of Vc supplemental level (A-D), the gill structure tended to be normal, the gap between branchial lamella gradually decreased, the base thickness of branchial lamella gradually became consistent, and the distribution of blood cells also tended to be uniform. At the same time, the degree of blood cell disorder decreased, the diaphragm gradually narrowed, the corneal cortex gradually recovered, and the degree of swelling decreased. When it reached the 333mg/L group, there was no apparent blood cell disorder, the blood cell arrangement became regular, and the degree of swelling became smaller and tended to the average level.
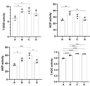
Effects of Vc on antioxidant capacity during transportation of P. monodon
With the increase of Vc supplemental level (A-D), hepatopancreas acid phosphatase (ACP) and alkaline phosphatase (AKP) was shown in Figure 5. The activity of ACP in the 0mg/L group was the lowest and decreased gradually in the 111mg/L, 222mg/L, and 333mg/L groups. Significant differences existed between the 0mg/L group and 111mg/L group, 111mg/L group, and 333mg/L group (P<0.05). AKP increased gradually in 0mg/L, 111mg/L, and 222mg/L and decreased significantly in the 333mg/L group, with significant differences among experimental groups (P<0.05). The activity of total superoxide dismutase (T-SOD) in the 0mg/L group was the lowest. Then it showed a gradually decreasing trend, and the difference between the 0mg/L group and other experimental groups was significant (P<0.05). The total antioxidant capacity (T-AOC) was the lowest in the 0mg/L group and then leveled off, with significant differences among all experimental groups (P<0.05).
Discussion
Effect of Vc on the transportation survival rate of P. monodon
Many factors affected the survival rate of shrimp transportation, such as transportation density, water temperature, transportation time, etc. Liu found that long-distance transportation of Litopenaeus vannamei seedlings with a water temperature of 18-26℃ and transportation time of 8-32h did not influence their future growth and survival.9 Zhou found that Vc could significantly improve the survival rate of shrimp but had no significant promoting effect on the growth of shrimp.10 In this experiment, with the increase of Vc supplemental level, the survival rate of P. monodon gradually increased, its average value increased from 88.8% to 97.7%, and the survival rate was still on the rise after 15 days of temporary rearing. The experiment results were consistent with those of Zhou,10 which proved that Vc plays a positive role in the survival rate of P. monodon during transportation.
The effect of Vc on the tissue structure of P. monodon during transportation
Gills were important respiratory organs of crustaceans, which were in direct contact with the external environment and played an important role in gas exchange and osmotic pressure balance. Since the gills of shrimp were directly in contact with the aquaculture aquatic environment, they were very vulnerable to the stress of the aquatic environment, resulting in the disorder of their organizational structure and physiological function.11 Xiong showed that pathological structural changes would occur in the gill tissue of L. vannamei under combined stress of high temperature and ammonia nitrogen.12 Chen found that after high-temperature stress on Penaeus chinensis, the degree of gill tissue damage increased with the extension of 29℃ heat stress time.13 In this experiment, with the increase of Vc supplemental level, the gill tissue structure tended to be expected, the gap between gill lamella gradually decreased, and the distribution of blood cells tended to be uniform. The degree of blood cell disorder decreased, the corneum gradually recovered, and the degree of swelling decreased. When it reached the 333mg/L group, there was no apparent blood cell disorder, the blood cell arrangement became regular, and the degree of swelling became smaller and tended to the average level. This indicated that Vc could effectively reduce the sensitivity of aquaculture organisms to environmental changes, and adding Vc could effectively fight against the adverse environment of shrimp life during long-distance transportation.
Effects of Vc on antioxidant capacity during transportation of P. monodon
Acps were important phosphomonoester hydrolases in macrophages and played an essential role in the immune response of shrimp.14 A study by Ai showed that ammonia nitrogen stress leads to quasi-hole green crab (Scyllaparamamosain) gill tissue ACP activity significantly reduced.15 Ruan conducted heat stress experiments on Procambarus clarkii and found that the AKP activity increased significantly at 12h, reached a peak, and then gradually decreased to a minimum, and the ACP activity increased significantly at 6h-12h, reached a peak, and then gradually decreased.16 Xiong found that ACP activity in the gill tissue of P. monodon decreased significantly under high-temperature stress and combined stress of high temperature and ammonia nitrogen.12 In this experiment, the activity of ACP in the 0mg/L group was the lowest and decreased gradually in 111mg/L, 222mg/L, and 333mg/L groups. AKP increased gradually in 0mg/L, 111mg/L, and 222mg/L and decreased significantly in the 333mg/L group. Chen found that adding immune enhancer Vc into the diet could restore lysozyme activity in the low-density group to that in the stable immune system of Fenneropenaeus chinensis. In contrast, lysozyme activity in the high-density group was improved but significantly lower than that in the stable immune system of F. chinensis. Therefore, Vc could improve the immunoenzyme activity, but the degree of environmental stress also restricted the role of enhancers.13 The lowest activity in the 0mg/L group may be due to the accumulation of toxic substances in the simulated transport process exceeding the upper tolerance limit of the body, leading to the decrease of ACP and AKP activities.
Oxidative stress was one of the response mechanisms of the animal body to environmental stress. Under normal physiological conditions, the antioxidant system of aquatic animals could remove the reactive oxygen species produced by the metabolic process in time. However, under environmental stress, many reactive oxygen species are produced in the body, thus causing body damage.17 Shrimp had a relatively complete antioxidant system, which could remove excessive reactive oxygen species in the shrimp body, thus maintaining body homeostasis.18 Superoxide Dismutase (SOD) plays a crucial role in the body’s balance between oxidation and antioxidant, which could remove superoxide anion free radicals (O2-) to protect cells from damage and was a critical antioxidant oxidase to maintain the normal metabolism of cells in the body.19 Total antioxidant capacity (Total antioxidant capacity, T - AOC) was a variety of antioxidants and antioxidant enzymes of total antioxidant level to protect the cells and the body from active oxygen free radicals and oxidative stress damage, so it could be the total antioxidant capacity to evaluate active biological substances of antioxidant capacity.20 Crustaceans could rely on their antioxidant enzyme systems, such as superoxide dismutase, peroxidase, and glutathione peroxidase, to remove excess toxic substances. Still, the removal efficiency is often affected by the duration and intensity of stress. Sun found that SOD activity in fish liver showed an increasing trend in the short term at the beginning of stress. Still, with the continuous enhancement of toxicity, SOD activity was gradually inhibited. In the liver of fish in the high-concentration group, SOD activity consistently decreased significantly during the whole stress process.21 Li also reported that SOD activity in the liver of yellow catfish would gradually decrease under high ammonia nitrogen stress.22 Qiang reported that the body might reduce the accumulation of toxic ammonia by reducing the catabolism of protein and amino acids. When antioxidant enzymes were challenging to resist oxidative damage in cells, the activity of antioxidant enzymes in the body would be reduced.23 In this experiment, T-SOD activity in the 0mg/L group was the lowest and then showed a gradually decreasing trend. The activity of total antioxidant capacity (T-AOC) in the 0mg/L group was the lowest and then stabilized, which was consistent with the experimental results of Sun21 and Li.22
In conclusion, Vc positively affected the survival rate of P. monodon after transportation and temporary cultivation and alleviated the stress of P. monodon. A certain amount of Vc could be added to the seawater transportation during the transportation of P. monodon, which could have a good effect.
Acknowledgments
This study was supported by the Youth Fund of Hainan Natural Science Foundation (321QN351) Industrial Technology System of Modern Agriculture (CARS-48), Central Public-Interest Scientific Institution Basal Research Fund, South China Sea Fisheries Research Institute, CAFS (2020ZD01, 2021SD13), Special fund project for scientific and technological innovation and industrial development in Dapeng New Area (KJYF202101-08). National Key Research and Development Plan project (2022YFD2400104). Fangchenggang Science and Technology Plan Project (Fang ke AB22013015).
Authors’ Contribution according to CRediT:
Conceptualization: Wan-Li Yang, Song Jiang
Data curation: Wan-Li Yang, Qi-Bin Yang
Formal Analysis: Wan-Li Yang
Funding acquisition: Fa-Lin Zhou, Shi-Gui Jiang
Investigation: Wan-Li Yang, Song Jiang
Methodology: Wan-Li Yang, Song Jiang
Project administration: Fa-Lin Zhou, Jian-Hua Huang
Resources: Fa-Lin Zhou, Li-Shi Yang
Software: Fa-Lin Zhou, Xu Chen
Supervision: Fa-Lin Zhou, Yun-Dong Li
Validation: Fa-Lin Zhou, Song Jiang
Visualization: Fa-Lin Zhou, Song Jiang
Writing – original draft: Wan-Li Yang
Writing – review & editing: Wan-Li Yang



_.jpeg)
.jpeg)
