Introduction
The hobby of marine aquarium keeping has garnered increasing interest from enthusiasts, researchers, and conservationists alike, with particular attention given to ornamental marine fish.1 Among these, the false clownfish (A. ocellaris) stands out as a preferred choice due to its vivid coloration, adaptability, and its unique symbiotic relationship with sea anemones, coupled with its captivating swimming behavior.2 Despite the successful artificial breeding of several clownfish species (Amphiprion spp.), the challenge of achieving the bright and vibrant colors seen in their wild counterparts remains a significant barrier to further development in their aquaculture.1,3 Coloration and morphology, being key determinants of an ornamental fish’s value and appeal to collectors, have led to increased wild harvesting to meet market demands.4 This practice has contributed to the depletion of natural fish populations and the degradation of coral reef ecosystems.1,2 Therefore, dedicated research aimed at enhancing the coloration of marine ornamental fish, with a focus on the false clownfish, is crucial for the sustainable progress of the ornamental marine aquaculture industry.
The significance of color extends beyond mere aesthetic appeal; it is integral to various biological functions, including communication, reproduction, defense, and interaction with the environment in fish.2,5 Factors influencing fish coloration have been identified and include species, developmental stage, genetic makeup, environmental conditions, diet, and health status.6,7 These factors impact the pigmentation cells and structures within the skin, leading to color variations through both physiological and morphological shifts.5 With this knowledge as a foundation, several methods have been employed to modify fish coloration in aquaculture, such as nutritional supplementation, environmental changes, and genetic selection.4 Of these, dietary supplementation has been demonstrated to be an uncomplicated yet efficacious approach, enhancing not only the color vibrancy but also the overall health of the fish in a gradual and sustained manner.8,9
Carotenoids are a group of pigments widely distributed in nature, responsible for imparting red, orange, and yellow hues to many organisms.9,10 The supplementation of these pigments in the diets of fish has been demonstrated to exert a positive impact on coloration, growth, survival rate, reproduction, immunity, as well as antioxidant capacity and stress resistance in various fish species.8,10 Notably, fish are incapable of endogenous carotenoid synthesis and must depend entirely on dietary sources for their species-specific pigmentation.10,11 In response to market demands for intensified coloration in aquaculture species, the use of supplemental carotenoids, encompassing both natural and synthetic varieties, has been increasingly adopted.10,12 Nonetheless, the employment of synthetic carotenoids presents several drawbacks, including a limited spectrum of types, reduced bioactivity, constrained bioavailability, and adverse environmental impacts.8,12 Consequently, this has propelled ongoing research into and utilization of natural carotenoid sources, which are known to confer extensive benefits in aquaculture.9,10
Numerous studies have documented that supplementing carotenoids from higher plants into feed yields beneficial outcomes, such as improved growth performance and coloration, in various aquaculture species.13–15 Traditionally, carotenoids have been administered in the form of crude powders, constituting 15% to 35% of total feed mass,14,16 which can compromise feed quality and water transparency. This is due to the carotenoids being encased within plant cell structures, rendering them less accessible for digestion and absorption by the farmed organisms.3,17 Utilizing carotenoids in a semi-purified form results in several advantages, including reduced inclusion rates (0.01% to 2.0%), which improves digestibility and absorption, and provides handling and storage convenience.3,15 Carotenoid-rich fruits and vegetables, such as gac (Momordica cochinchinensis), bell peppers (Capsicum spp.), carrots (Daucus carota), and pumpkin (Cucurbita spp.), are widely available in tropical regions. The gac, in particular, is esteemed for its unparalleled carotenoid concentration within its aril.18 Incorporating these natural carotenoid extracts into aquafeeds is anticipated to significantly enhance the coloration and health of ornamental fish species like clownfish (Amphiprioninae). This supplementation was also evaluated against synthetic astaxanthin, a prevalent carotenoid in aquaculture, and a control group without pigment additives. We hypothesize that natural carotenoid supplementation in feed can potentially improve the growth and coloration of artificially cultured ornamental fish, possibly matching or exceeding the effectiveness of synthetic astaxanthin.
Materials and methods
Carotenoid source preparation
Raw materials, including pumpkin (Cucurbita moschata), bell pepper (Capsicum annuum), carrot (Daucus carota), and gac (Momordica cochinchinensis) were sourced from a local market in Nha Trang City, Khanh Hoa Province, Vietnam (Figure 1). Subsequently, these materials were transported to the Laboratory of Food Processing Technology at Nha Trang University for the extraction of carotenoids. For the extraction from gac, simply brand soybean oil (CALOFIC Co. Ltd., Vietnam) was employed as the solvent, whereas 96% ethanol was utilized for the extraction from the remaining produce.
The extraction protocol adhered to the methodology established by Tran et al.3 with slight modifications. In summary, the aforementioned products (100 g) underwent initial processing (cleansed, with stems, peels, and seeds discarded) and were combined with the respective solvent at a solvent-to-material ratio of 3.5:1 (v/w), equating to 350 ml of solvent per 100 g of material. The blend was then homogenized using a Philips HR2118 blender (600W, Indonesia). The resultant mixture was placed in a 500 ml glass beaker, which was sealed with cling film to prevent evaporation. Microwave-assisted extraction was performed using a Sharp microwave (900W, Japan) for a total of 180 seconds, interspersed with 30-second pauses for cooling. Post-extraction, the mixture was filtered through a cloth to separate the extract from the solid remnants or mash. This residual mass was reprocessed in additional cycles, with three cycles in total to ensure maximal recovery of carotenoids from the raw inputs. The carotenoid-enriched extracts from all cycles were amalgamated, and the carotenoid concentration was determined using a UV-Vis spectrophotometer (Biochrom Ltd., UK). Consequently, the carotenoid content per gram of fresh pumpkin, bell pepper, carrot, and gac was established to be 71.7 µg/g, 102.6 µg/g, 88.4 µg/g, and 463.0 µg/g, respectively. A synthetic source of astaxanthin (Astax), Carophyll Pink CWS (DSM Nutritional Products Ltd., Switzerland), comprising 10% concentrated astaxanthin, was utilized. These carotenoid sources were incorporated into the diets for the experimental feed trials with false clownfish.
Experimental diet preparation
The basal diet consisted of 55% crude protein and 12% lipids, tailored to meet the dietary requirements of marine fish larvae.19,20 The precise composition, ratios, and nutrient contents are delineated in Table 1. We evaluated five carotenoid sources: four were natural—derived from pumpkin, gac, bell pepper, and carrot—and one was a synthetic carotenoid source, astaxanthin (Carophyll Pink); there was also a control treatment devoid of carotenoid supplementation (Table 1). The carotenoid concentration for the enriched diets was standardized at 250 mg/kg of feed.
The feed manufacturing process adhered to the protocol delineated by Tran et al.3 As per the guidelines, all feed components (with the exception of carotenoids and the vitamin mixture) were accurately weighed as per the formulation provided in Table 1, finely milled, and uniformly blended using a commercial-grade food mixer. Following the blending phase, the concoction was subjected to a 20-minute pressure-cooking cycle. The cooked mixture was then processed through an extruder fitted with a 3.0 mm die to form pellets. These pellets were subsequently dried at 60°C over an 8-hour period in a forced-air oven, achieving an approximate moisture content of 10%. Post-cooling, an amalgamation of carotenoid oils and a synthetic vitamin mixture was incorporated thoroughly. The feed was then crumbled and sifted to yield pellet sizes ranging from 0.8 to 1.0 mm. The final step involved packaging the feed into multiple small zip-lock bags, which were then stored at -4°C in the freezer to be used sequentially.
Rearing conditions
Juvenile clownfish sourced from Vinh Hoa Marine Ornamental Fish Hatchery - a facility specializing in the artificial breeding of marine aquarium fish - were used in the experiments. They had an average length of 3.21 ± 0.03 cm (mean ± SE) and weight of 0.61 ± 0.02 g (mean ± SE). The fish were allocated to 60-liter aquaria with dimensions of 55 × 35 × 38 cm, maintaining a density of 15 fish per tank. Prior to the start of the experimental procedures, the fish underwent a one-week acclimatization period.
The rearing system comprised 18 interconnected glass aquaria, integrated with a central recirculating biofilter with a capacity of 500 liters. The biofiltration process employed microorganisms that had colonized substrates made of plastic beads and coral rubble. Water exchange was meticulously controlled to maintain a flow rate of 1.5 liters per minute per tank, resulting in approximately 36 complete water turnovers daily for each tank.
Feeding regimens were administered quartidiurnally at 07:00, 10:00, 13:00, and 16:00, tailored to satiate the fish while also being adjusted based on direct observation to prevent overfeeding. Uneaten feed was removed after 30 minutes by siphoning, subsequently collected and preserved cryogenically. This residual feed was then desiccated to a residual moisture level of 10% for the purpose of assessing feed conversion efficiency at the experiment’s conclusion.
Twice-daily siphoning (at 06:30 and 17:00) was conducted for waste and feces removal. Water renewal was performed weekly at a rate of 30% total tank volume. Water quality parameters were vigilantly monitored and controlled to fall within optimal ranges for the growth and well-being of the clownfish: temperature (27 - 31°C), salinity (32 - 34‰), pH (7.8 - 8.2), dissolved oxygen (> 5.0 mg/L), and total ammonia nitrogen (TAN, NH3/NH4+) (< 1.5 mg/L). The entire experimental system was positioned beneath a metal canopy to attenuate the variations in light and temperature. The lighting adhered to a natural cycle, with a consistent pattern of 12 hours of daylight transitioning to 12 hours of night. This ensured a relative uniformity in the effects and intensity of the lighting across all experimental tanks. Daily observations were recorded, encompassing tank conditions, fish behavior, and mortality rates.
Experimental design
The experiment was implemented in a completely randomized design to investigate the influence of various dietary carotenoid sources on the growth performance, survival rate, feed utilization efficiency, skin coloration, and carotenoid accumulation in the juvenile stage of clownfish. Five dietary treatments—pumpkin, bell pepper, carrot, gac, and synthetic astaxanthin—were incorporated at a dose of 250 mg/kg feed, along with a control group that received no carotenoid supplementation (Table 1). Each treatment was replicated three times throughout a 75-day period.
On the final day of the experiment, all clownfish within the tanks were collected to assess growth parameters, survival rate, feed utilization efficiency, skin coloration (L*, a*, b*, chroma, hue, and color difference), and carotenoid accumulation levels (in the skin, muscle, and whole body) for comparison across treatments. Sampling was conducted on all surviving individuals at the experiment’s conclusion. Prior to sampling, the fish were fasted for 24 hours and anesthetized with 0.05% Ethylene Glycol Monophenyl Ether (Merck KGaA, Germany) for 15 to 20 seconds. The fish were then blotted dry with paper towels before the measurement of length, weight, and coloration. Subsequently, six individuals from each tank were randomly selected and preserved at -80°C for the analysis of carotenoid content in the laboratory.
Determination of growth parameters, survival rate, and feed utilization efficiency
Growth performance, survival rates, body condition scores, and feed conversion efficiencies were determined using the following computational formulas:
Specific growth rate for length (SGRL): SGRL (%/day) = ((lnL2 - lnL1) / t) × 100
Specific growth rate for weight (SGRW): SGRW (%/day) = ((lnW2 - lnW1)/t) × 100
Coefficient of variation for length (CVL): CVL (%) = (SDL / Mean length) × 100
Coefficient of variation for weight (CVW): CVW (%) = (SDW / Mean weight) × 100
Condition factor (K): K = 100 × (BW / TL³)
Survival rate (SR): SR (%) = (N2 / N1) × 100
Feeding rate (FR): FR (%BW/day) = 100 × FI / [(W1 + W2) / 2] / t
Feed conversion ratio (FCR): FCR = FI / (W2 – W1)
Where: L1, L2 represent the length of the fish at the beginning and end of the experiment (mm); W1, W2 represent the weight of the fish at the beginning and end of the experiment (g); t is the duration of the experiment (days); SDL, SDW are the standard deviations of length and weight of the fish, respectively; FI is the total amount of feed ingested; N1, N2 are the numbers of fish at the start and at the end of the experiment.
Skin color intensity and accumulated carotenoid content
Skin color intensity
The measurement of fish skin color intensity was conducted on the entire population of live fish at the conclusion of the experimental period, following the acquisition of length and weight data. Utilizing a CR-400 digital colorimeter (KONICA Minolta Sensing, Inc., Osaka, Japan), color metrics were obtained from both lateral sides of the fish, specifically between the soft dorsal fin and the anal fin, aligning with the white midline stripe. Each specimen underwent duplicate measurements on each side with mean values computed for analysis.
Employing the Konica Minolta CR-400 colorimeter, an apparatus founded on spectrophotometric principles, we replicated the CIE 1931 standard color matching functions as ratified by the International Commission on Illumination (CIE). This facilitated the procurement of intricate color details via CIE Lab (CIELAB) and CIE LCh (CIELCH) color spaces. Within this framework, L* denotes lightness (0 to 100 scale), a* represents the green to red spectrum (negative for green, positive for red), b* encapsulates the blue to yellow spectrum (negative for blue, positive for yellow), chroma (C*ab) quantifies color saturation (scale begins at 0, ascending with color intensity), and the hue angle (Hoab) spans a 0 to 360-degree range.21 Adherence to the manufacturer’s guidelines was maintained throughout the measurement process. To elucidate the effects of diverse dietary carotenoid sources on the skin coloration of false clownfish, we calculated the average color difference (ΔE*) between treated groups (L2*, a2*, b2*) and the control cohort (L1*, a1*, b1*) using the equation ΔE* = √[(L1* - L2*)² + (a1* – a2*)² + (b1* – b2*)²].22
Total accumulated carotenoid content
Quantification of total carotenoids within the skin, musculature, entire organism, and feed was conducted via UV-Vis spectrophotometry adhering to the protocol delineated in Tran et al.3 Analyzed samples encompassed skin (0.25 g, bilateral), muscle tissue (0.25 g, post-dermabrasion), whole body (1.0 g), and feed (1.0 g). Homogenization in acetone (20 ml) with anhydrous sodium sulfate (Na2SO4, 1.5 g) was executed using an Ultra-turrax® T10 homogenizer (IKA, Germany). Subsequent filtration through filter paper was repeated until a colorless filtrate was achieved. Post-centrifugation at 6000 rpm for seven minutes ensured supernatant collection, preserved at 4°C. Carotenoid absorbances were measured utilizing a spectrophotometer (Biochrom Ltd, Cambridge, UK), and the concentration was articulated in micrograms per gram of sample (µg/g) through the equation:
Total carotenoid content (TC) (µg/g) = A × V × D × 104 / (W × E1cm1%)
Here, A represents the absorbance at 450 nm, V is the extract’s total volume in milliliters (mL), D the dilution factor, W the sample’s weight in grams (g), and E1cm1% is the specific extinction coefficient, which is 2.100 for oil solvent.
Statistical analysis
Data analyses were conducted utilizing IBM SPSS Statistics software, version 22.0. Prior to performing one-way ANOVA for the evaluation of intergroup differences, assessments for normality and variance homogeneity were completed. Subsequent to the identification of statistically significant disparities, a post-hoc analysis using Duncan’s Multiple Range Test was implemented to delineate the specific group differences (p < 0.05). The results are depicted as means ± standard error (SE).
Results
Growth performance and survival rate
The incorporation of carotenoids into the diet was found to significantly enhance the growth metrics of clownfish. Individuals receiving feeds augmented with gac and bell pepper demonstrated the most pronounced specific growth rates in length, reaching 0.41 ± 0.01%/day and 0.39 ± 0.01%/day, respectively. These rates were superior to those observed in groups supplemented with carrot, pumpkin, and synthetic astaxanthin, which showed growth rates between 0.33 – 0.36%/day. Notably, the control group exhibited the lowest specific growth rate in length at 0.29 ± 0.01%/day (p < 0.05). A similar pattern was observed for specific growth rate in weight, with gac supplementation yielding the highest rate, closely matched by the bell pepper-supplemented group (1.17 ± 0.03% and 1.14 ± 0.03%/day, respectively), as opposed to the control group’s rate of 0.82 ± 0.05%/day (p < 0.05). Collectively, these findings highlight that diets enriched with gac and bell pepper enable clownfish to attain superior specific growth rates in both length and weight, outperforming the control by margins of 34.48 – 41.38% and 39.02 - 42.68%, respectively, as detailed in Table 2.
Carotenoid supplementation in the diet positively influenced the weight variation coefficient of clownfish. Fish receiving diets enriched with carotenoids derived from gac and bell pepper displayed lower weight variation coefficients in contrast to those receiving diets supplemented with synthetic astaxanthin, carrot, and the control group, exhibiting coefficients of 28.95 ± 1.91% and 29.24 ± 2.58% compared to 35.21 ± 1.83%, 35.35 ± 1.93%, and 40.27 ± 0.63%, respectively (p < 0.05). Nevertheless, the length variation coefficient, condition factor, and survival rates were not impacted by carotenoid enrichment in the diets, with recorded values ranging from 9.91 to 12.43%, 1.76 to 1.81 g/cm³, and 93.33 to 97.78%, respectively (p > 0.05; refer to Table 2).
Feed utilization efficiency
The effects of dietary carotenoid enrichment on feed utilization efficiency metrics in clownfish are depicted in Figure 2. The data reveal that while the daily intake rate of feed remained statistically consistent (ranging from 1.60 to 1.80 %/day; p > 0.05; Figure 2A), significant variations were observed in the feed conversion ratio (FCR). The group supplemented with carotenoids sourced from gac demonstrated the most favorable FCR, registering a reduction of 28.91% compared to the control group (p < 0.05). It is noteworthy that the FCR did not show a variation between the treatments supplemented with bell pepper and gac (p > 0.05; Figure 2B). This indicates that carotenoids obtained from gac and bell pepper are efficacious for optimizing feed utilization in clownfish.
Fish skin coloration
The effects of adding various carotenoid sources to the diet on fish skin coloration parameters are presented in Figure 3. The a* value, indicative of the orange-red color intensity of the fish skin, was highest in the group supplemented with synthetic astaxanthin (15.11 ± 0.32) and lowest in the control group (7.87 ± 0.31; p < 0.05). This represents an enhancement of over 92.01% compared to the control. Importantly, the a* value for the synthetic astaxanthin group was not significantly different from the group receiving bell pepper (15.11 ± 0.32 vs. 14.89 ± 0.43; p > 0.05; Figure 3B). For the b* value, which denotes the yellow color intensity, the highest values were observed in the groups supplemented with carotenoids from gac, bell pepper, and synthetic astaxanthin (22.91 – 23.41), in contrast to the control group’s lowest value (17.81) (p < 0.05; Figure 3C). However, the L* value, reflecting skin lightness, did not show a difference across the treatments, with values ranging from 44.45 - 47.13 (p > 0.05; Figure 3A).
The inclusion of various carotenoid sources in the diet also influenced other color metrics, such as color saturation (C*ab), hue angle (Hoab), and total color difference (ΔE*). The highest C*ab values were noted in the groups supplemented with bell pepper, synthetic astaxanthin, and gac, and the lowest in the control group, with a range from 27.82 – 28.33 compared to 19.54 (p < 0.05; Figure 3D). In contrast, the Hoab values were higher in the control and lower in the supplemented groups, particularly those with astaxanthin, bell pepper, and gac (65.74 vs. 54.34 – 57.30; p < 0.05; Figure 3E). The ΔE* values, representing the overall color difference from the control, were significantly greater in the fish skin of groups supplemented with bell pepper, synthetic astaxanthin, and gac compared to those supplemented with carrot and pumpkin, with values ranging from 9.10 – 9.58 versus 6.19 – 6.53 (p < 0.05; Figure 3F).
In summary, the supplementation of carotenoids in the diet significantly improved the skin coloration of clownfish compared to the control. Among the treatments, those supplemented with synthetic astaxanthin, bell pepper, and gac were more effective in enhancing skin coloration than the others.
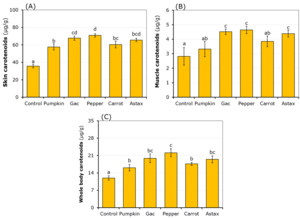
Total carotenoid accumulation
The concentrations of total carotenoids accumulated in the false clownfish, including skin, muscle, and the whole organism under different feeding conditions, are illustrated in Figure 4. The results clearly indicate that dietary supplementation with carotenoids significantly enhances carotenoid accumulation in the fish when compared to the control group. Specifically, the carotenoid concentration in the skin was highest in the treatment group that received bell pepper carotenoids (70.92 ± 1.89 µg/g) compared to the control group (35.74 ± 2.03 µg/g) (p < 0.05). There was no significant difference in the skin carotenoid concentration between the treatment with bell pepper and those supplemented with carotenoids from gac and synthetic astaxanthin (67.76 ± 2.42 and 65.67 ± 1.99 µg/g, respectively; p > 0.05; Figure 4A). Consistent trends were observed in the carotenoid concentrations in the muscle and the entire fish, with the highest levels in the treatments supplemented with bell pepper, gac, and astaxanthin, and the lowest in the control group (p < 0.05; Figure 4B, 4C).
Discussion
Clownfish, typically characterized by their small size and slow growth rate, take 3 to 6 months to reach a juvenile size suitable for commercial sale (4-6 cm), depending on rearing conditions.23 Thus, improving growth rates is pivotal for reducing cultivation time and increasing the economic yield of clownfish production. The findings of this study suggest that dietary carotenoids derived from gac and bell peppers can significantly enhance growth performance and feed utilization efficiency in false clownfish, evidenced by increases of 34.48 - 42.68% and 11.85 - 28.91%, respectively, compared to the control group (Table 2). These results confirmed the beneficial effects of carotenoids, especially those sourced from gac and bell peppers, on the outcomes of aquaculture for various fish species, including the false clownfish. Carotenoids are known for their high biological activity and have been documented to positively influence growth, feed efficiency, and the overall health of aquatic organisms.8 The mechanisms by which carotenoids facilitate growth in fish include (1) regulation of intermediary metabolism through increased activity of digestive enzymes24,25; (2) enhancement of energy utilization for growth due to their antioxidant properties, reduction of stress, and modulation of gene expression across numerous physiological processes9,26; and (3) improvements in gut morphology (e.g., increased length and villi thickness) and gut microbiota function, thereby optimizing digestive efficiency and nutrient uptake.27,28
The beneficial impact of carotenoid-rich diets on false clownfish growth as observed in this study is consistent with findings in other marine aquaculture species, such as the large yellow croaker (Pseudosciaena crocea),29 the pompano (Trachinotus ovatus),26 the red porgy (Pagrus pagrus),16 the European seabass (Dicentrarchus labrax),30 and the red-spotted grouper (Epinephelus akaara).31 Conversely, several studies have reported no significant improvement in growth with carotenoid supplementation in species such as the olive flounder (Paralichthys olivaceus),13 the red porgy (Pagrus pagrus),32 and the coral trout (Plectropomus leopardus).25 Interestingly, within the species A. ocellaris, the response to carotenoid supplementation is variable; while certain studies report positive effects,15 others do not.14,33,34 These inconsistencies may be attributed to diverse factors, including the species under cultivation, developmental stages, diet composition, the source and concentration of carotenoids, supplementation duration, and other husbandry conditions.4,8,9,16 Consequently, the role of dietary carotenoids in promoting growth performance and feed utilization in fish remains a topic of debate and necessitates further investigation. Nevertheless, the condition factor and survival rate of the fish were not adversely affected by the inclusion of carotenoids in the diet, with survival rates exceeding 93.33% (Table 2), underscoring the adaptability of false clownfish to captive conditions and the non-detrimental nature of carotenoid supplementation to their survival.
Given the pivotal role of coloration in the valuation and marketability of clownfish, and ornamental fish more broadly, concerted efforts have been made to enhance the color intensity of aquacultured specimens to meet or surpass that of wild populations.4 A multitude of assessment methods, from sensory evaluations to sophisticated analytical techniques, have been employed to gauge the success of these color enhancement strategies. Notably, image analysis (employing metrics such as Colorimeter, L*, a*, b*, C*ab, H°ab, and ΔE*) and the measurement of carotenoid accumulation within the organism have emerged as reliable indicators.22,35 The current investigation has revealed that dietary inclusion of carotenoids sourced from bell peppers, gac, and synthetic astaxanthin has led to a marked improvement in clownfish pigmentation, affecting both skin color parameters (a*, b*, H°ab, C*ab, and ΔE*) and internal carotenoid concentrations, in comparison with a non-supplemented control. Enhancements in skin redness (a* value) and carotenoid accumulation were observed to increase by 75.73 – 91.99% and 83.74 – 98.43%, respectively, in the treated groups relative to control subjects (Figure 3 & 4). These findings reinforce the potential of gac and bell pepper-derived carotenoids, alongside synthetic astaxanthin, in promoting desirable pigmentation in clownfish. Prior studies have documented the positive impact of both natural and synthetic carotenoid supplementations on clownfish coloration,14,15,33,34 although the degree of enhancement is influenced by the carotenoid source, concentration, supplementation duration, fish size, and husbandry practices.33,36,37
The analyses presented in this study provide empirical support for the proposition that the inclusion of carotenoids in the diet significantly enhances growth performance and feed utilization efficiency in clownfish. It is noteworthy that natural carotenoids derived from gac and bell peppers demonstrate favorable outcomes. Moreover, the comparative analysis of color enhancement efficacy across all three carotenoid sources suggests their equal potential, positioning natural carotenoids as viable alternatives to synthetic astaxanthin, which is limited by concerns over biological efficacy, cost, and safety.8 While the study successfully identifies potent carotenoid sources for color enhancement, it does not thoroughly address the metabolic pathways and absorption mechanisms of dietary carotenoids in clownfish. Other critical health-related metrics, such as immune function, antioxidative capacity, stress tolerance, and a spectrum of biochemical and enzymatic activities, were not within the scope of this study. Additionally, the optimal quantity and duration of carotenoid supplementation, pivotal for maximizing growth and coloration outcomes, remain to be elucidated and optimized through future research endeavors.
Conclusion
This study has substantiated the positive impact of carotenoid supplementation derived from gac and bell peppers on growth metrics, feed conversion, and pigmentation in clownfish. Moreover, it highlights the comparative effectiveness of these natural carotenoids when compared to synthetic astaxanthin in improving species quality. Our findings propose an innovative, environmentally friendly, and sustainable strategy that enhances the commercial appeal and viability of aquacultured clownfish. This strategy potentially reduces the exploitative pressures on wild reef populations, thereby contributing to the preservation of coral reef ecosystems.
Acknowledgements
This study was funded by the Vietnam Ministry of Education and Training under the project code B2022-TSN-08. Dung Van Tran was funded through the PhD Scholarship Programme of Vingroup Innovation Foundation (VINIF) under the code VINIF.2022.TS024. We extend our sincere thanks to Nha Trang University and the Vinh Hoa Marine Aquarium Fish Hatchery for their support in the successful completion of this research.
Authors’ contribution
Conceptualization: Dung Van Tran (Equal), Nhan Thai Hua (Equal), Hung Quoc Pham (Equal). Methodology: Dung Van Tran (Equal), Khanh Thi Pham (Equal), Thanh Trung Dang (Equal), Hung Quoc Pham (Equal). Formal Analysis: Dung Van Tran (Equal), Hau Thi Luong (Equal), Khanh Thi Pham (Equal), Thanh Trung Dang (Equal). Writing – original draft: Dung Van Tran (Equal), Hung Quoc Pham (Equal). Writing – review & editing: Dung Van Tran (Equal), Nhan Thai Hua (Equal), Hung Quoc Pham (Equal). Funding acquisition: Hau Thi Luong (Lead).
Ethics statement - IACUC
The procedures involving marine fish in this study complied with the Vietnamese national regulations for animal use in research, guided by the Vietnam Livestock Production Law. Although ethical approval is not mandated for marine fish experiments, all efforts were made to minimize stress with optimal care and management practices.

_pumpkin_(*cucurbita_moschata*)_.png)

__l.png)
